Can or should athletes wear face masks when training or competing? Sports Performance Bulletin looks at some brand new research on how face mask use affects exercise capacity
Although recommendations and regulations across the globe vary country by country, face mask use to reduce the spread of Covid-19 has become a popular strategy, which now affects tens of millions of people. With the recent scientific findings that the virus responsible (SARS-Cov-2) is spread not only via droplets but by airborne transmission too
(1), and that exposure to the virus may not confer future immunity (due to a rapid decline in antibody levels over a relatively short timescale)
(2), it seems likely that the debate over mask use will continue for some considerable period of time.
Face mask facts
The job of a face mask is to provide a physical barrier between the nose/mouth through which air entering the lungs has to pass. In particular, its role is to filter out particles and droplets from the air inhaled and exhaled by the user. Importantly therefore, mask use not only helps to protect the user from potential infection from the environment, but also helps to reduce the risk that an infected individual unwittingly transmits virus particles into the surrounding environment. In fact, good recent data suggests that the latter benefits maybe key to reducing the community spread of Covid-19
(3,4).
Since coronavirus virus particles (like all viruses) are extremely small (about 125nm in diameter – ie just 125 millionths of a millimetre), the smaller the size of particles that can be filtered out, the more effective the mask will be. Although there are a number of masks and respirators on the market, most of them that you might have seen mentioned in the media fall into two categories: surgical masks and N95 masks:
- *Surgical mask - a loose-fitting, disposable device, which creates a physical barrier between the mouth and nose of the wearer and potential contaminants in the immediate environment (figure 1). These are often referred to as face masks, although not all face masks are regulated as surgical masks. Note that the edges of the mask are not designed to form a seal around the nose and mouth.
- *N95 mask - designed to achieve a very close facial fit and very efficient filtration of airborne particles (figure 2). The ‘N95’ designation means that when subjected to careful testing, the respirator blocks at least 95 percent of very small (300nm) test particles. The edges of the respirator are designed to form a seal around the nose and mouth. Surgical N95 respirators are commonly used in healthcare settings, and if properly fitted, their filtration capabilities of N95 respirators comfortably exceed those of surgical masks.
There’s still much debate about just how effective masks are in reducing SARS-Cov-2 transmission outside of a clinical session (for a more detailed discussion of the evidence
see this PP article). While some experts believe (from modelling and observational data) that on balance, mask use by the general public should be recommended
(5),other studies using randomized controlled trials (ie producing more rigorous and robust evidence) have suggested no benefit in real-world conditions when cloth or surgical (not N95) masks are used in public venues
(6).
Figures 1 and 2: Surgical and N95 face mask examples
Mask use and exercise
With lockdown restrictions being lifted in many countries, and facilities such as gyms and sports centres now being reopened, athletes seeking to use these facilities may being considering mask use during their workouts. The same will undoubtedly be true when sports events get underway, particularly those such as mass-participation runs where social distancing is difficult to achieve. Given that virus particles in respiratory droplets may be transmitted to a greater extent during physical exertion and sport
(7), this could be a prudent move.
But what effects do face masks have on exercise physiology, and in particular the ability of athletes to perform at a high level? Although much research has been carried out on the environmental considerations of using face masks, much of this has (understandably) been focused on health care professionals who are required to wear masks for prolonged periods of time. However, the quantitative effects of masks on exercise capacity have never been systematically reported. But now, some brand new research on the use of surgical and N95 masks during exercise across a range of intensities provides a valuable insight for athletes who might be considering mask use.
In this study, researchers from the University of Leipzig investigated how the use of two different types of face masks – surgical and N95 (FFP2) affected the heart/lung responses of subjects performing an incremental cycling test to exhaustion of a cycle ergometer
(5). Before testing began, all the subjects received a physical examination and a resting electrocardiogram (ECG). All the subjects then performed three incremental cycling tests to exhaustion on three separate occasions on a recumbent ergo bike, beginning at 50 watts power output, increasing every three minutes by an additional 50 watts. These three trials were identical except for what the subjects wore during the trial:
- *A surgical mask
- *An N95 mask
- *No mask
The trial order was randomised for each subject and the participants were blinded with regard to their respective test results (to avoid influence by an anticipation bias).
In addition to measuring heart rates, cardiac outputs, stroke volume, maximum oxygen uptake (VO2max) and blood chemistry (for example blood lactate) during the trials, the subjects also provided subjective feedback on aspects of comfort including perceptions of humidity, heat, breathing resistance, itchiness, tightness, saltiness, feeling unfit, odour, fatigue, and overall discomfort. In addition, all the subjects performed a peak-flow and FVC (forced expiratory volume – the maximum volume of air that can be forcibly exhaled in one breath) test in each condition using a spirometer to measure lung function (see figure 3).
Figure 3: Spirometry testing
Fitting of spirometry mask with surgical mask shown in A1 and N95 mask in B1. The respective leakage tests are shown for surgical mask (A2) and N95 mask (B2).
The findings
The main findings from the trials were as follows:
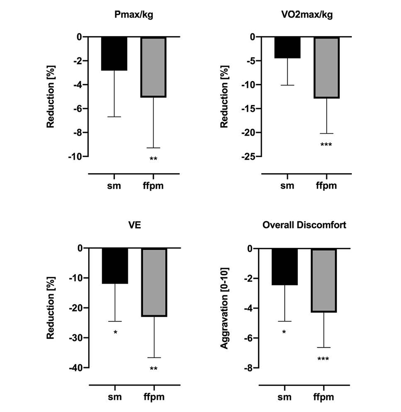
- #Both masks significantly reduced the dynamic lung air flow. The average reduction of FVC was 8.8% with the surgical mask and 12.6% with the N95 mask. Peak flows meanwhile were even more dramatically impacted, being reduced by 9.7% when wearing the surgical mask 21.3% with the N95 mask.
- #The average duration of incremental test compared to the test without mask was slightly decreased by 29 seconds with the surgical mask and 52 seconds with the N95 mask. (Note that a shorter duration in an incremental test to exhaustion means that the subject was not able to sustain a high exercise intensity for as long – ie poorer performance.
- #At maximum exercise intensities, a large reduction maximum power (4.9%) and maximum oxygen uptake (12.9%) was observed, especially with the N95 mask - although wearing a surgical mask still resulted in reductions (see figure 4).
- #Compared to not wearing a mask, the negative ratings for all items of discomfort increased consistently and significantly when wearing a surgical mask and further still when wearing an N95 mask. Indeed, there were several-fold negative reports for the N95 mask compared to no mask or surgical mask for the perception of breathing resistance encountered.
Figure 4: Effects of wearing an N95 or surgical mask to no mask(5)
Effects of wearing a surgical mask (sm) and an N95 mask (ffpm) compared to no mask on maximal power (Pmax), maximal oxygen uptake (VO2max), ventilation (VE) and overall discomfort.
Implications for athletes
This is the first study to investigate the effects of mask use on high-intensity/maximal exercise performance and the results are striking. The data reveals that both mask types (but especially an N95 mask) reduced the maximum power the athletes could produce, which was itself a consequence of a reduced maximum oxygen uptake (VO2max). Cardiac monitoring of the subjects showed that cardiac outputs (litres of blood pumped per minute) did not change as a result of mask use, but that the oxygen content of the pumped blood (avDO2) did.
In plain English, mask use acted to inhibit lung function at higher exercise intensities by reducing oxygen transfer from the air into the bloodstream. The fact that the N95 mask use produced the biggest reduction in oxygenation indicates that while these mask provide greater filtration and protection against viruses, these benefits come at a cost of the greatest reduction in exercise performance at high intensities. The greater filtration and resistance to air flow at high exercise intensities also places more demand on the auxiliary breathing muscles. Since research has established that high demands on these muscles can contribute to an increase in fatigue (hence the use of inspiratory muscle training [IMT] devices), these findings are not surprising
(8).
Recommendations
These results are unequivocal in nature. We can sum up the findings thus:
- *Wearing a mask DOES impair high-intensity exercise performance.
- *The higher the filtration ability of the mask (ie the more protection it affords the wearer), the more it impairs exercise performance.
- *The higher the intensity of the exercise undertaken, the greater the negative impact of the mask.
What do these findings mean for athletes? In general, we can say that when exercising in an environment where the risk of virus transmission is low – ie outdoors and away from others – mask use is not only unnecessary but may well be counterproductive, especially when exercise intensity is high (eg interval training, race situation etc). For most endurance athletes undertaking routine training, mask use should be discouraged and instead training locations should be chosen where distancing is possible – ie masks are not needed.
What about athletes who are training or competing in close proximity, for example in the gym or in a road run with large numbers of other runners? In these kinds of situations, mask use may be beneficial, especially in terms of protecting other athletes. However, N95 mask types, while providing very effective filtration, are likely to impair performance to an unacceptable degree. A looser fitting surgical mask on the other hand, while not affording as much protection to the wearer, still helps to protect others in close proximity and results in less reduction in exercise capacity (although is still not impact free). Overall, consider mask use as a useful strategy to protect others in crowded or indoors environments, but understand that while they can provide virus transmission benefits, these come at a cost for exercise performance!
References
- J Dent Res. 2020 Jul 2;22034520940288. doi: 10.1177/0022034520940288
- J Infect. 2020 Jun 30 doi: 10.1016/j.jinf.2020.06.073 [Epub ahead of print]
- N Engl J Med 2020; 382:2061-2063
- Nature Medicine 2020 (vol 26) 676–680
- Clin Res Cardiol. 2020 Jul 6 : 1–9. doi: 10.1007/s00392-020-01704-y [Epub ahead of print]
- Ann Intern Med. 2021 Mar;174(3):335-343
- Blocken BMF van Druenen T, Marchal T (2020) Towards aerodynamically equivalent COVID-19 1.5 m social distancing for walking and running
- J Physiol. 2016 Sep 15; 594(18):5303-15