You are viewing 1 of your 1 free articles. For unlimited access take a risk-free trial
SPB looks at recent and new research on the phenomenon of ‘durability’, why and how it affects performance, and how athletes can navigate its effects
The human body is an amazing machine capable of incredible physical feats. And when it comes to endurance performance, many researchers believe that the human endurance machine is superior to that of all other mammals. This is likely due to a multitude of reasons, including the evolutionary need to develop endurance to hunt down other faster mammals with long chases until they succumbed to exhaustion(1), and also a superior ability to shed excess heat during long-duration exercise(2).
While it’s tempting to think of the human body as a simple machine when it comes to endurance performance, this analogy is not strictly true. Let’s use a car engine/human body comparison to illustrate this fact. In the human body, maximum sustainable power output is determined largely by aerobic capacity (VO2max). The analogy for a car engine is maximum brake horsepower (bhp) output, and here the analogy is appropriate. The efficiency of car is generally given as miles per gallon (mpg) at a given speed; here again, there’s a good analogy with the human body, where the economy of motion (eg running economy) is given as litres of oxygen per minute needed to sustain that speed.
However, the machine analogy starts to break down a little when we consider another key human endurance determinant - lactate threshold – which is the percentage of aerobic capacity that can be sustained before fatigue sets in and forces you to slow down. For athletes, this fatigue-inducing threshold is reached at around 80-90% of VO2max. In a well built car engine, operation at peak power is theoretically possible indefinitely (if it’s not well built, it will blow up of course!) and you don’t need to back off or stop the car in order for it to recover. But probably the biggest flaw in the ‘machine’ analogy is that the human body is affected by something called ‘durability’.
One of the most recent discoveries about human endurance is that aerobic capacity, threshold and efficiency can and do change as fatigue sets in(3). In other words, they are not static. Therefore, unlike your car engine, which turns in the same maximum mph, mpg and ability to work flat out regardless of whether it’s been running for five minutes, five hours or 50 hours, the VO2max, lactate threshold and economy of your body tend to decline as exercise progresses. This quality is known as ‘durability’; when durability is high, the changes VO2max, lactate threshold and economy are relatively minimal and only set in after an extended period of exercise. Where durability is low, larger changes in these key performance markers are observed in a shorter period of time.
It turns out (unsurprisingly) that a high level of durability is another key metric in how endurance athletes perform, with elite endurance athletes showing higher durability levels than amateur or recreational athletes(3,4). High durability - ie ability to resist physiological changes – has been shown to have clear performance advantages. For example, a marathoner with high durability can resist the inevitable performance deteriorating changes and maintain performance capacity for prolonged periods of time. In line with this, lower heart rate drift (where it creeps upwards over time even though speed remains constant) in marathon running is associated with longer onset time to the start of drift and a faster relative marathon speed(5). Also, the greater heart drift commonly seen in amateur and recreational marathoners is associated with a decrease in running speed at the later stage of the race, as well as worse total time(6).
In a recent article on durability published in the December 2024 issue of SIB, Andrew Sheaff looked at Finnish research carried out by researchers from the University of Jyväskylä, in Finland investigating the impact of durability on lactate threshold in recreational athletes(7). Over the period of a 90-minute run, the researchers found clear durability effects, with the lactate threshold decreasing 5.8% in females and 5.3% in males – see figure 1. In other words, over the period of this test, the workload at which first lactate threshold occurred in the athletes was reduced. This meant that while these athletes started their exercise at an intensity just below that required to produce a rise in blood lactate, the lack of durability meant they drifted into that threshold, causing a rise in lactate, even though the exercise intensity remained unchanged. This clearly demonstrates that your lactate threshold is not fixed in time, and can be significantly influenced by fatigue, even if you are exercising at relatively low intensities away from your lactate threshold!

Another very recent study highlighting the importance of durability in endurance performance comes from a team of French researchers who have been investigating the link between durability and critical speed/critical power(8). Critical power (CP) and critical speed (CS) determine the maximum power or speed you can maintain for a given distance, and are key markers for helping athletes to determine the correct (fastest) pace that can be held over a race distance without blowing up! CP and CS can also be used as fitness monitoring tests – for example maximum pace and distance covered in the 3-minute all out test.
In this study, the researchers set out to investigate whether an hour of heavy-intensity running carried out prior to a 3-minute CS test induced a decline in CS and other performance parameters. Seven trained runners completed a set of separate 3-minute all-out tests to measure their 3-minute CS. Multiple tests were carried out and then averaged to provide a more accurate assessment of CS and to confirm the reliability of the test – ie that it gave a similar result for the same athlete even when carried out on different occasions.
On a subsequent visit, the runners ran for 1 hour at 85% of their CS (ie moderately hard) to induce fatigue while wearing a portable GPS device (to measure the distance covered). The average speed during the fatiguing run was 3.6 (0.4) metres/sec (8.0mph), representing 78% of the athletes’ CS and 86% of maximal heart rate After this 1-hour run, they then performed another 3-minute all-out test to assess CS under fatigue. What they found was that the prior 1-hour run caused the athletes’ CS to decline by 6% - a clear illustration of the durability effect. Another finding was that D′ (a measure of the ability to run above critical speed during a CS test) declined by a massive 68% following the 1-hour run. In addition, total running distance, maximal speed, and time to reach maximal speed were also significantly reduced. These findings clearly demonstrate that concepts such as CS and CP are durability dependent. This in turn means that your critical speed for a race at the start of the race is not the same as later in the race, because it will decline through the race.
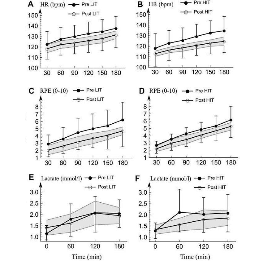
If durability is so important, how can athletes train it to minimize ‘drift’ as a race or event unfolds? Is there a specific type of training that endurance athletes can do that targets building durability? For some answers to this, we can turn to a 2023 study also carried at the University of Jyväskylä, which is one of the first intervention studies to examine how low- (LIT) and high-intensity (HIT) endurance training affect durability(9). Specifically, they investigated the ‘time of onset’ and magnitude of deterioration in key physiological characteristics over time during prolonged exercise’.
In this study, a mix of sedentary and recreationally active men (16) and women (19) completed a 10-week training program of consisting of one of the following two types:
· Low-intensity cycling (LIT) - average weekly training time 6.8 hours per week.
· High-intensity cycling (HIT) – 1.6 hours per week.
LIT - consisted of cycling under first lactate threshold (easy-moderate intensity). The weekly 5 - 6 training days included long (1.5 - 4 hours), medium (1 - 1.5 hours), and short (45 - 60 minute) sessions. Weekly training hours progressed individually based on perceived exertion from 4.5 up to a maximum of 12.5 hours. Subjects did their training mostly outdoors with their own bike with dual-sensing power meters.
HIT - consisted of 2 - 3 weekly indoor training sessions using Wattbike Trainers, or indoor trainers with their own bicycles equipped with power meters. Training consisted of high-intensity work intervals 3 - 7 minutes long with recovery periods that were ¾ of the work interval duration. In the first training week, there were 15 minutes of cumulative high-intensity time in a training session, and it progressed individually up to 30 minutes per session.
Before and after the training program, durability was assessed during a 3-hour cycling session at 48% of pre-training maximal oxygen uptake. In particular, durability was assessed using:
· Measures of ‘physiological strain’ - defined to be the absolute responses of heart rate and its variability, blood lactate levels, and rate of perceived exertion.
· The absolute magnitude of the physiological drift that occurred
· The onset of drifts - i.e. how quickly factors like alterations in energy expenditure, heart rates, rate of perceived exertion, and breathing rates etc changed.
The key finding was that both types of training resulted in improved durability – ie less drift in key physiological measures over the 3-hour cycling sessions. Overall, there was a reduction in the magnitude of drift for the factors measured of 1.2% and 2.4% for the LIT and HIT programs respectively. However, it was also noted that the improvements in durability were really quite small. The onset of drift was delayed by around 25 and 29 minutes on average for the LIT and HIT groups respectively.
However, when the data was statistically analyzed, it turned out that the (small) gains in durability were similar in both groups, which mean that both the low and high-intensity training programs produced small and similar gains, and neither was significantly superior to the other (see figure 2). The authors concluded that ‘despite the fact that durability was enhanced in the participants, the 10-week intervention did not alter drifts and the onset of these drifts by a large amount, even though it attenuated physiological strain’.
As Andrew Sheaff explained in his article, your physiological capacities are not fixed, but are subject to the effects of fatigue. So while a higher lactate threshold, economy, and aerobic capacity will improve your performance, it’s important to understand that the ability to sustain those performance parameters as much as possible is also critical. From the data above, we can see that the declines or ‘drift’ in performance measures due to the durability effect are significant. This means that a) athletes need to take them into account when developing training and pacing regimes and b) athletes should endeavor to improve durability where possible.
In the study above, we can see that while both LIT and HIT 10-week programs improved durability, the gains were small in absolute terms. This suggests that training durability to significantly improve it is likely to be a long-term process measured more in months and years rather than weeks. So persistence is key! Interestingly, the improvements in durability were similar in both the low and high-intensity programs even though the HIT program involved just a quarter of the training time. This suggests that per unit of time invested, higher-intensity training is likely to improve durability more than lower intensity, and therefore that endurance athletes who are seeking to improve durability should be sure to include regular HIT sessions in their program.
A final point is to be aware that when fitness testing or setting pacing strategies (eg running at a % of critical speed), the durability factor will come into play. Therefore, to ensure consistent and reliable data, you should undertake testing or set your pacing strategies in a fresh state – not after you have been training or undertaking other forms of exercise. Bear in mind too that if you have a strategy to set a certain pace later on in a race, a calculation made when you are fresh will almost certainly be too fast later on in a race when the durability effect has kicked in. Always test your strategy first in training!
1. Brain Size and Hunting Ability in Earliest Man Current Anthropology December 1968 9(5)
2. Ibraimov A, Akhunbaev S, Uzakov O (2024). Why Humans are Better Endurance Runners than Any Other Animal?. Medical & Clinical Research 9(3): 01-03
3. Sports Med 2021. 51, 1619–1628
4. J.Physiol. 2024 Sep;602(17):4113-4128. doi: 10.1113/JP284205. Epub 2023 Aug 22.
5. Sports Med 2022. 52, 2283–2295
6. Front. Psychol 2020. 10, 3026
7. Eur J Appl Physiol. 2024 Oct 9. doi: 10.1007/s00421-024-05631-y
8. Int J Sports Physiol Perform. 2025 Mar 25;20(6):866-868
9. Front Physiol. 2023 Feb 16;14:1128111.
Today you have the chance to join a group of athletes, and sports coaches/trainers who all have something special in common...
They use the latest research to improve performance for themselves and their clients - both athletes and sports teams - with help from global specialists in the fields of sports science, sports medicine and sports psychology.
They do this by reading Sports Performance Bulletin, an easy-to-digest but serious-minded journal dedicated to high performance sports. SPB offers a wealth of information and insight into the latest research, in an easily-accessible and understood format, along with a wealth of practical recommendations.
*includes 3 coaching manuals
Get Inspired
All the latest techniques and approaches
Sports Performance Bulletin helps dedicated endurance athletes improve their performance. Sense-checking the latest sports science research, and sourcing evidence and case studies to support findings, Sports Performance Bulletin turns proven insights into easily digestible practical advice. Supporting athletes, coaches and professionals who wish to ensure their guidance and programmes are kept right up to date and based on credible science.