Is there any way of accurately predicting your first Ironman triathlon time? Andrew Hamilton looks at what the research says and comes up with some guidance
Embarking on an Ironman triathlon involves a journey into the unknown, both physically and mentally. Many triathletes relish this challenge; it’s not just the buzz of overcoming adversity, it’s also great for putting the trivial hassles of daily life firmly into perspective! However, while we all like a challenge, too much uncertainty can be very unsettling, especially for would-be Ironman novices. One of the biggest uncertainties of the lot is knowing exactly what you’re letting yourself in for. You know the distance you have to cover but what you really want to know is how long it’s all going to take you!
Unfortunately, predicting your first Ironman time is an extremely imprecise science. You might think that you can just take your steady-state training pace for each discipline and extrapolate out from there. However, it’s not as simple as that; the extraordinary length of an Ironman means that you’ll almost certainly be entering new and unknown territory where you’ll encounter new levels of muscular fatigue, severe nutritional challenges and the possibility of cramps, blisters, dehydration
etc.
The art of prediction
The physiological demands of an Ironman triathlon has always fascinated sports scientists, and this explains why there have been a number of studies into what makes a good Ironman triathlete and what characteristics in a given triathlete help predict a fast Ironman time. For example, one study compared the height, weight, and percent body fat data of accomplished Ironman triathletes with those of elite athletes from the sports of swimming, cycling, and running
(1). It indicated that the physiques of these triathletes were most likely to be similar to that of elite cyclists. Other studies have shown that (for short-distance triathletes at least), elite triathletes are likely to be tall, of average to light weight, and with low body fat
(2). Also, a 2000 study showed that low body fat was important for an overall fast race time and fast split times in each of the three disciplines
(3).
Of course, while this is all very interesting, these studies didn’t answer the question of how a novice triathlete might be able to better predict his or her race time – only whether their particular physical characteristics were likely to endow them with the potential to turn in a good time. However, a 2010 study had a closer look at this question
(4).
Swiss Ironman findings
In this study, the researchers studied 83 male recreational triathletes participating in the 2009 Ironman Switzerland race. During the afternoon prior to the race, the researchers took a number of physical measures including height, weight and body mass index (BMI). They also took skinfold measurements to determine body fat percentages. What was different in this study however was that the triathletes had also been keeping comprehensive training diaries, which recorded data for each training session performed in the run up to the event, including the distance, duration, and average speed of sessions. This data, along with the personal best times for an Olympic distance triathlon and a marathon run, were also gathered. At the end of the race, the times recorded for each triathlete were matched to the data gathered for that triathlete and the results were number crunched to see which (if any) variables predicted race times.
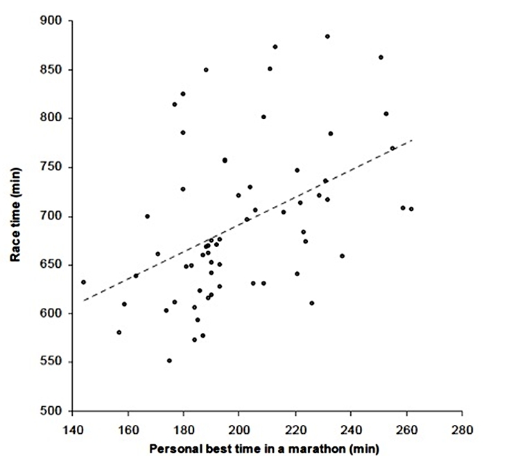
What emerged was that the triathletes’ marathon and Olympic distance triathlon personal best times were strongly related to their Ironman race time (see figures 1 & 2). Also, average speed in running during training, was related, though less strongly so. In fact statistical analysis indicated that these three variables alone explained 64% of the Ironman race time. This somewhat surprised the researchers because they had expected that (in line with previous studies) body fat %, cycling volume, and personal best time in an Olympic distance triathlon would be most related to the Ironman race times.
Figure 1
Eg, using the best fit line, a 3-hour marathon PB predicts a 670-minute Ironman
Figure 2
Eg, using the ‘best fit’ line, a 150-minute Olympic distance triathlon PB predicts a 725-minute Ironman
The best of both
The study above indicates that either marathon or Olympic distance triathlon PBs could be useful for predicting your Ironman time. But a 2012 study on 53 recreational female triathletes indicates it might be possible to combine both of these to yield a more accurate predictive formula. Like the study above, researchers found that the body characteristics and weekly cycling volumes of the female triathletes were poorly predictive of Ironman performance. By far the strongest predictors were previous PBs for the marathon and Olympic distance triathlon. When the data was number crunched, the researchers were able to produce a formula to approximately predict Ironman race times (all times in minutes):
Ironman time prediction (in minutes) = 186.3 + 1.595 × (PB for Olympic distance triathlon) + 1.318 × (PB for marathon)
For example, if you can run a 3hrs:30mins marathon and have recorded a 3hrs:00mins PB for an Olympic distance triathlon, your predicted Ironman time would be:
186.3 + (1.595x180) + (1.318x210) = 186.3 + 287.1 + 276.78 = 750 minutes = 12.5 hours
Of course, this formula is no guarantee of your actual Ironman time as statistical analysis can only take you so far. Remember too that being derived from a study on female recreational triathletes, it will obviously be less accurate when applied to male triathletes. However, for novice triathletes who’ve no idea how long their first Ironman will take and who’ve previously completed a marathon and an Olympic distance triathlon, it’s not a bad place to start!
Practical guidance
- Use these guidelines to get a very rough idea of the time you might achieve in your first Ironman and help you plan ahead, both psychologically and practically – eg fuelling and hydration requirements BUT;
- Remember that Ironman prediction science is imprecise; while these guidelines can give you a rough idea of the time you might achieve, be prepared for the fact it might take longer;
- Don’t rely on previous good performances in the marathon or Olympic distance triathlon to get you through an Ironman – you still need to train for an Ironman to get through an Ironman!
References
- Medicine and Science in S ports and Exercise 1987; 19,45-50
- Sports Medicine 1996, 22, 8-18.
- Annals of Human Biology 2000 27, 387-400
- Percept Mot Skills. 2010 Oct;111(2):437-46
- Chin J Physiol. 2012 Jun 30;55(3):156-62