Sports Performance Bulletin investigates new research on the benefits of eccentric strength training for athletic performance
What is the most important quality for an endurance athlete to develop in order to optimize his or her performance? When you ask this question, the most common replies are ‘great oxygen carrying capacity’ (VO2 max) or ‘the ability to preferentially metabolize fat burning for energy’ However, while these attributes are important, it may surprise you to know that despite all the attention paid to exercise biochemistry and physiology, something else is more important - strength.
Elite coaches across the world understand that strength, and its manifestations – power, speed, and muscle economy (how efficiently muscles work) -are more closely related to performance than any other quality. Moreover, the benefits of strength training for endurance athletes have been demonstrated in numerous scientific studies, many of which have been reported in Sports Performance Bulletin over the years (see
this article by Tom Whipple for a comprehensive outline of the benefits of strength training for athletes and the kind of programs that work)
(1-4). In this article however, we are going to home in on recent research on a mode of strength training emphasizing the ‘eccentric’ muscle contractions, and the benefits that this mode of training can bring.
Eccentric basics
Before looking at the research, let’s briefly clarify what we mean by eccentric contractions. When muscle fibers shorten and contract, they exert force. This muscle contraction is known as a
concentric contraction. During strength training in the gym for example, this is where the weight is rising against the force of gravity – the so-called lifting phase. Among many athletes who strength train, this concentric contraction is what is thought as the ‘useful’ part of the movement. However, there is another type of muscle contraction that can occur. Known as an
eccentric contraction, this movement occurs when the muscle fibers are being lengthened under load – ie while resisting a force. Using the example of a biceps curl, the eccentric contraction occurs if the dumbbell is lowered slowly and under control – ie the biceps muscle fibers lengthen while resisting the force of gravity in order to stop the weight falling freely.
Research has shown that both the positive (concentric) and negative (eccentric) contractions in resistance training confer strength gains to the muscles. However, more recent studies have demonstrated that eccentric contractions are particularly effective in this respect
(5-7). This is because the physiological ‘micro-damage’ induced in muscle fibers after eccentric muscle contractions strongly stimulates the release of a signaling molecule called ‘mTORC1’ – and scientists now understand that mTORC1 switches on genes in muscles, essentially instructing them to grow.
Concentric domination
The architecture of human muscle means that muscles can sustain more force on an eccentric contraction than on a concentric one. This explains why for example you can sometimes just manage to lift a very heavy object down from a high shelf only to find you can’t lift it back up again without assistance. During training, the amount of weight used to generate a physiological adaptation is determined by how many repetitions of an exercise (typically chosen as somewhere between 5-10 reps that can be performed using strict form. But because less force can be sustained during concentric contractions, when ‘failure point’ is reached during most strength workouts, it is almost always during the concentric (lifting) phase of a rep - rarely on the eccentric (lowering) phase. However, given the growing body recent research on the physiological benefits of eccentric muscle contractions, researchers have begun ask if and how eccentric-contraction oriented strength sessions could benefit athletes seeking maximum performance.
Eccentric research
As mentioned above, a growing body of evidence suggests that the use of high-intensity eccentric strength training is particularly effective improving strength; more so than the same volume of concentric training – something first demonstrated by Bradenburg & Docherty nearly 20 years ago
(8), and since replicated in more recent studies
(9-11).
The problem however is that most of the research on eccentric training has employed isokinetic and/or an isolated single-joint eccentric exercise – eg leg extension or biceps curl. But actually, this is not how athletes strength train because in the real world, athletes typically perform multi-joint, compound movements – for example, squats, chins, bench presses, lunges, dips etc. Some limited research (two studies) has been carried out on athletes who undertook strength training using compound movements with an increased emphasis on eccentric loading - both of which produced superior results in terms of lower-body strength, sprint speed and jump performance
(12,13). However, these studies also included other training modes such as overspeed training, making it difficult to draw firm conclusions as to just how effective eccentric-emphasized strength training is compared to regular ‘concentric-limited’ training.
New findings
With the above in mind, a newly-published study by British scientists provides compelling evidence that compared to a concentric-limited strength program, the same exercises performed with an augmented eccentric loading can produce real benefits for athletes
(14). Twelve well-trained subjects were randomly allocated to a traditional resistance training group or a resistance training group using augmented eccentric loading. A further five full-time, professional sprint track cyclists from a senior national squad program also trained with augmented eccentric loading (AEL-ATH) alongside their usual sport-specific training.
In the traditional group, the resistance was determined by assessing the 1-rep max (1RM) of the subjects during leg press and back squat exercises (the maximum weight that could be moved for one rep). Inevitably, this was determined by the subjects’ maximum concentric strength during these movements. In the augmented eccentric training groups however, the 1RM was assessed separately for the eccentric and concentric movements in these exercises. Although it varied from subject to subject, the eccentric 1RM was typically 150% of the concentric 1RM – ie the subjects could lower half as much weight again as they could lift.
For four weeks, the subjects and pro cyclists trained on specially adapted resistance machines that used pneumatic devices capable of adding force during the eccentric phase of the exercise movement. A moving pattern of LEDs on the machine instructed the athletes how fast to execute the movements so as to ensure that both the traditional and eccentric-augmented groups performed the exercises at the correct speed. This was to ensure that the only variable in the study was the amount of eccentric loading. In essence then all three groups followed exactly the same training program, but whereas the traditional group used the same loading for the lifting (concentric) and lowering (eccentric) phases, the eccentric-augmented groups were subjected to much higher force loadings (around 50% higher) during the eccentric phases of the two exercises.
The findings
Before and after the 4-week program, all the subjects were strength tested for:
- *Concentric 1RM
- *Eccentric 1RM
- *Squat 3RM
- *Isometric strength (at 90 degrees knee bend)
- *Traditional 1RM
The results are summarized in figure 1 below.
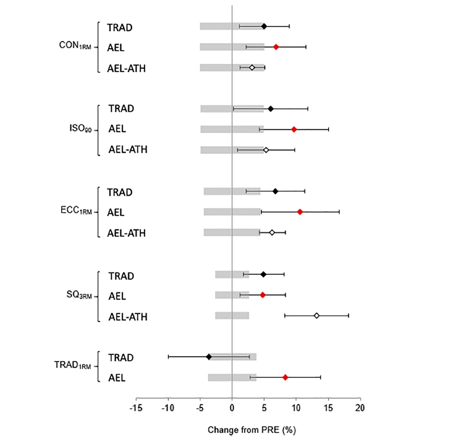
Fig 1: Relative changes in strength following augmented eccentric training vs. traditional(14)
Relative changes in strength following training with augmented eccentric loading in the normal subjects (AEL), in the elite cyclists (AEL-ATH) and in the subjects who trained traditionally (TRAD) – ie no augmented eccentric loading. The diamonds represent the overall average while the shaded bars represent the measurement error for each outcome.
In short, all the training groups experienced increases in concentric, (5%, 7% and 3% for TRAD, AEL & AEL-ATH respectively) and eccentric (7%, 11% and 6% for TRAD, AEL & AEL-ATH respectively) strength – as might be expected. Among the recreationally-trained subjects, the augmented eccentric training led to somewhat greater strength increases in four of the five strength measures (red diamonds vs. solid black diamonds). But what was even more interesting was that the elite cyclists undergoing augmented eccentric training very significantly increased their squat strength compared to both the other groups (13% vs. 5%), suggesting that they had particularly benefited from the augmented strength training.
The researchers concluded by stating that
:”Four weeks of resistance trainingincorporating augmented eccentric (imposed via a novel leg press device) provoked marked adaptation in a range of muscle strength qualities, with evidence of a greater magnitude of improvements compared to traditional resistance training. And while the eccentric training stimulus imposed a greater demand compared to traditional resistance training, this was well-tolerated by all participants, including a group of sprint track cyclists. This indicates that training with augmented eccentric load is both feasible and effective for athletes aiming to improve muscle strength qualities.”
Practical advice
The most recent research adds even more weight (no pun intended) to the argument in favour of adding in some extra eccentric loading to an athlete’s strength program. Below are some tips for achieving this in practice:
- -In an eccentric training session on conventional weights, the amount of weight you lift should be increased by between around 25 and 50% - you will need a training partner to assist you by supplying some help during the lifting phase only.
- -At the top of the lift, your partner should stand back while you lower the (higher than normal) weight smoothly and slowly, really working the muscles through a thorough eccentric phase of the movement.
- -At the end of the lowering phase, the training partner again helps you to lift through the concentric phase, allowing you to lower on your own (remember, you’ve more strength in a lowering phase than lifting).
- -Repeat for 5-8 reps until a set is completed.
- -Those new to eccentric augmented training should expect to feel ‘jellied’, especially for the first couple of sessions, and will likely experience more soreness and stiffness the day after than usual (because negative contractions cause more of the microfilament damage thought to be responsible for post workout soreness than do positive contractions). Remember though, this is a ‘good’ thing as it’s the micro-damage that stimulates muscle growth via mTORC1.
- -Careful with too much overload; limit eccentric augmented sessions to no more than 2-3 sets per body part twice per week. An alternative is to try adding just one eccentric-augmented set after your normal sets of traditional lifting.
- -Beginners to strength training should not attempt eccentric-augmented sessions until muscles have become accustomed to regular traditional strength training
References
- Phys Ther Sport. 2002; 3(2):88–96
- Sports Medicine. 2016; 46(10):1419–49
- British Journal of Sports Medicine. 2014; 48(11):871–7
- J Sport Health Sci. 2015; 4:308–17
- PLoS One. 2018 Jun 12;13(6):e0199050
- Front Physiol. 2019 Apr 18;10:406
- Muscle Nerve. 2016 Nov;54(5):914-924
- Journal of Strength and Conditioning Research. 2002; 16(1):25–32
- European Journal of Sport Science.2015; 15(8):720–6
- Medicine and Science in Sports and Exercise. 2006; 38(10):1770–81
- Scandinavian Journal of Medicine and Science in Sports. 2014; 24(5):e343–52
- Journal of Strength and Conditioning Research. 2013; 27(5):1280–6
- Journal of Strength and Conditioning Research. 2018; 32(10):2750–61
- PLOS ONE doi.org/10.1371/journal.pone.0236663 July 29, 2020