SPB looks at the recent research on high-intensity intervals and how athletes can safely and effectively integrate them into a training schedule
There’s an old adage that says
“If you do what you’ve always done, you’ll get what you’ve always had.” And yet many athletes who train to develop aerobic fitness employing the same pace day in, day out are surprised when they (inevitably) fail to make progress. The problem is that grinding out steady-state, one-pace workouts only tend to produce performance gains in the earlier stages of training. Once the muscles and cardiovascular system have adapted to this steady-state routine, a performance plateau that one-paced training predictably brings is reached.
You can of course simply up your basic steady-state training pace. However, a significant increase in pace sustained across all of your workouts would place a lot of stress on your body, leaving you both exhausted and injury-prone. Another option is to keep the same pace but steadily increase your training volume, for example by running/swimming/rowing/cycling
etc further and further in some or all of your workouts. But while this ‘longer and longer’ approach is great for helping to develop your ability to run/swim/row/cycle etc for longer, it does little to help you perform these individual specific activities any faster – and the risk of sustaining an overuse injury is still very much an issue.
The rise and rise of high-intensity interval training
As almost every athlete and his/her coach knows, interval training’ is a method of training that intersperses intervals of high-intensity exercise, with short periods of rest. Done right, interval training allows athletes to get larger fitness gains, faster than simply ploughing along endlessly at a steady intensity. Until comparatively recently however, interval training was regarded as mostly the preserve of elite athletes. The main reason for this was that while effective (and less likely to result in injury and burnout), many interval sessions recommended by coaches were still pretty grueling – for example, 8 x sets of 4 minutes on the bike performed at 90-95% maximum aerobic capacity (hard!) or 6 x 800m on the track at near race pace. Inevitably, for a lot of club and recreational athletes, interval training of this nature seemed quite daunting.
But thanks to pioneering work back in 1996 by a Japanese researcher called Izumi Tabata at the National Institute of Fitness and Sports in Kanoya, Japan, things the interval-training landscape now looks quite different
(1). When Tabata published the results of his study on the effects of high intensity interval training (HIIT), he showed that just 8 x intervals of 20 seconds of work interspersed with 10 seconds of rest produced excellent gains in fitness. In particular, he demonstrated that his HIIT protocol:
- Achieved very substantial gains in aerobic capacity (cardiovascular fitness).
- Produced anaerobic (speed/power) benefits for athletes that could not be achieved with steady state aerobic exercise alone.
- Required less time to produce the equivalent gains observed in other types of interval training.
The interest in HIIT has grown steadily and Tabata’s findings have been supported in a number of other studies across a wide range of sports. Another potential benefit of high-intensity interval training is that many athletes (especially non-elite sportsmen and women) report that they are less onerous to perform, which makes them attractive for those who can’t or won’t contemplate very tough workouts!
Research on HIIT
A number of scientific studies have shown that per unit of time invested, HIIT is more effective at producing the necessary changes in muscle biochemistry for fitness and performance gains than training at a constant, one-speed pace (steady-state training). For example, a 2006 study demonstrated that 2.5 hours of sprint interval training produced similar biochemical changes in muscles to 10.5 hours of endurance training and similar endurance performance benefits
(2).
There’s also evidence that HIIT can improve maximal oxygen consumption (VO2 max – one of the best indicators of aerobic fitness) more effectively than doing only traditional, steady-state long aerobic workouts
(3-6). Even better, evidence suggests that HIIT can also increase the muscles’ ability to utilise fat for energy, which not only means they can conserve precious glycogen, thus extending endurance but can also help those who are trying to lose some excess body fat
(7).
In the past decade or so, studies have looked at the benefits of HIIT using very short intervals of 30 seconds or less and produced some astounding results. For example, a 2010 study found that performing 7 x 30-second sprint intervals was just as effective at increasing markers of aerobic fitness as 3 x 20-minute hard efforts despite the fact that during long intervals, the total work performed was 8 times greater and the exercise duration 17 times longer than during the sprint intervals
(8). Meanwhile, a Canadian study found that a HIIT program consisting of sessions consisting of 6 intervals of just 10 seconds sprinting produced significant gains in measures of aerobic fitness
(9)!
Recent HIIT thinking
As more and more studies have been published, scientists have begun to understand more about the benefits of HIIT and how this training mode can be successfully implemented in a training program. In particular, there’s a growing consensus that even very small volumes of HIIT can prove effective at building and maintaining aerobic endurance. Let’s look at some of these published studies.
Canadian researchers examined the effects of reducing the duration of the work-interval duration in HIIT
(10). In particular, they wanted to see whether reducing the duration from 30 seconds to just 15 seconds affected the gains in maximal and sub-maximal performance over a 4-week training period. To do this, they compared three programs:
- Endurance training, consisting of 60 minutes stationary cycling, 3 sessions per week for weeks 1-2, then increasing to 75 minutes per session for weeks 3-4;
- Sprint interval training on a stationary bike, consisting of repeated 30-second all-out intervals starting with 4 intervals per session for weeks 1-2, then increasing to 6 intervals per session for weeks 3-4;
- Sprint intervals as above but with intervals of just 15 seconds – ie half the interval duration.
After 4 weeks of training, the key finding was that all three groups made the same gains in all three measures of fitness –
ie slashing the volume of interval work by 50% still produced the same benefits, and that just 3 to 4.5 minutes of work intervals per week produced the same fitness gains as 180-225 minutes a week, which is what the endurance-training group clocked up! Some caution is required because these although these subjects were healthy and active, they weren’t highly-trained athletes. That said, this study provides yet more evidence that some HIIT can be a very powerful training tool, especially if time is short.
In another study, Swiss scientists looked at the effects of just six sessions of HIIT consisting of between eight and twelve 1-minute intervals performed at an intensity that was equivalent to the maximum sustainable power that each subject had achieved in a prior maximal exercise test –
ie very hard but not quite flat out
(11). At the end of the 2-week, 6-session long period, the subjects’ oxygen uptake capacities (a key measure of aerobic fitness) had risen by a healthy 8%. That just six brief sessions of intervals (each lasting for just 20 minutes or so) produced such significant gains in aerobic capacity is impressive enough but even more surprising however was that tests showed these gains were the result of improved oxygen processing in the muscles as a result of increased ‘mitochondrial density’ – the kind of adaptation that is normally associated with high volumes of aerobic training.
Further evidence underlining the benefits of HIIT comes from a study into elite footballers who added twice weekly sessions of HIIT to their normal endurance, strength and skill training program
(12). Sixteen footballers were divided into 2 groups:
- Group 1, who carried out their normal football training program, consisting of 11 hours per week of strength, endurance and skill work for 12 weeks.
- Group 2, who carried out their normal football training as above but in addition, performed two sessions of HIIT training per week (each session consisting of repeated 15 seconds on at 105% maximum aerobic velocity/15 seconds rest for 20 minutes per session).
After 12 weeks, the HIIT-trained footballers experienced a significantly greater increase in their aerobic capacity compared to the normal-trained footballers. Moreover, gains were observed in the HIIT group after only 6 weeks, whereas the normal group only showed a small improvement after 12 weeks. As a bonus, when it came to measures of blood lipids and cholesterol, only the HIIT group improved; in this group, total cholesterol and LDL cholesterol (‘bad’ cholesterol) levels decreased by about 2%, whereas it remained stable in the normal-trained group. HDL cholesterol (the good sort that is known to protect against cardiovascular disease) increased in both training groups but the increase was significantly greater in the HIIT group.
Another fascinating study looked into the effects of HIIT in professional canoe athletes
(13). Scientists compared the aerobic fitness effects of three different 3-week training programs:
- Group 1 – nine sessions of 60-second duration intervals of high-intensity paddling with variable numbers of intervals in each session (6,7,8,9,9,9,8,7,6 intervals per session in sessions 1 to 9 respectively), and with a 1:3 work to recovery ratio (ie 3 minutes rest in between each interval).
- Group 2 – nine sessions of high-intensity paddling with variable intensities of intervals in each session (6 × 60-second intervals performed in each session but at 100,110,120,130,130, 130,120,110,100% maximum sustainable power output in sessions 1 to 9 respectively), and with a 1:3 work to recovery).
- Group 3 - a control group who performed nine x 60-minute paddling sessions at moderate intensity (75% maximum aerobic capacity) – ie the steady state training group.
The key finding was that both HIIT groups experienced major gains in maximum aerobic capacity whereas the steady state group experienced no gains (see figure 1). The HIIT groups also experience gains in anaerobic performance and more favourable hormonal profiles, indicating less metabolic stress than the groups performing steady state training. Importantly, these benefits were seen regardless of the number of HIIT intervals or interval intensity, which suggests that the exact combination of intensity/duration/number of intervals is rather less important than actually doing some HIIT in the first place!
Figure 1: Aerobic gains - HIIT vs. steady-state training in professional canoeists
Brand new research
Over the past 2-3 years, studies showing the endurance performance benefits of adding in HIIT to an existing training program have continued to accumulate. Just last month for example, German scientists published their finding on the effects of adding in HIIT to a training program in highly trained rowers
(14).
Seventeen rowers were randomly allocated to an HIIT intervention or a control group. For eight weeks, both groups took part in the regular rowing training, which consisted of three sessions per week of medium-intensity continuous training (70-90 minutes at 65–70% of heart rate max) and two sessions per week of resistance training. However, the programs varied as follows:
- The HIIT group completed additional high-intensity interval training twice weekly. Each session consisted of two blocks of four 2-minute intervals at 95% of heart rate max (very hard!) interspersed with 60 seconds of rest.
- The control group completed two more medium-intensity sessions as described above.
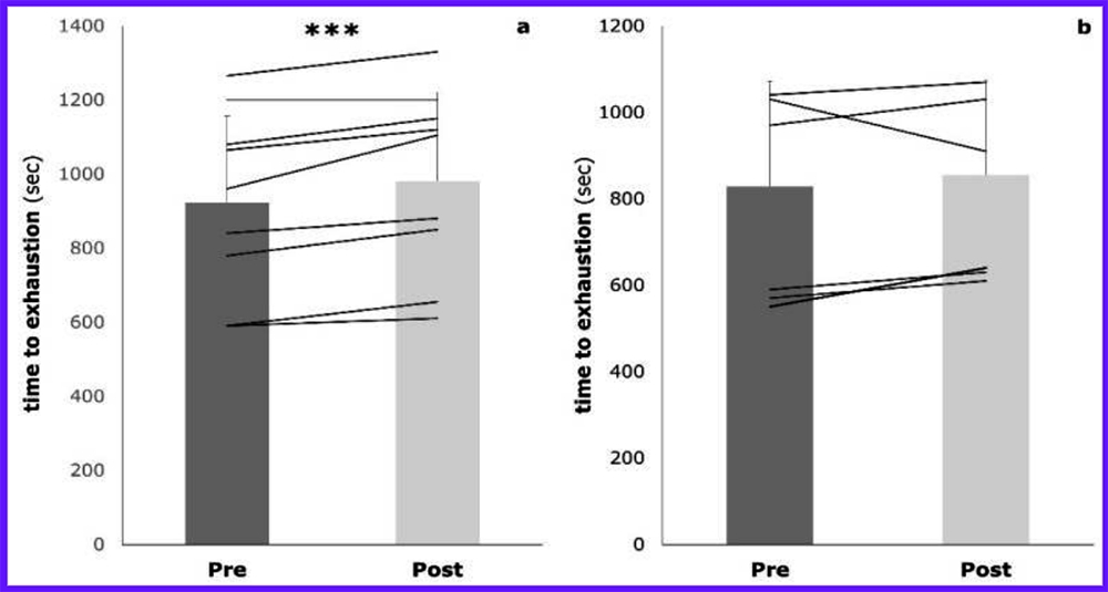
Before and after the 8-week program, a 2000-metre time trial and an exercise test were performed. The results showed that the HIIT-trained rowers showed a significant improvement in their rowing time to exhaustion in the graded exercise test (figure 2). Furthermore, they also showed a significant increase oxygen uptake (figure 3) and a significant improvement in the 2000m time trial performance. No significant changes could be detected in the CG.
Figure 2: Changes in time to exhaustion
HIIT group shown on left (a); control group shown on right (b). Significant gains in time to exhaustion were seen only in the HIIT group.
Figure 3: Improvements in maximum oxygen uptake
Significant gains in absolute oxygen uptake were only seen in the HIIT-trained rowers (a) shown on the left hand graph.
For those with any remaining doubts about the effectiveness of HIIT, very robust evidence for its use in a wide range of settings comes from a review study published at the end of 2019
(15). In this study, researchers trawled through 47 studies containing 11,485 relevant records on exercise training interventions with a minimum 4-week duration, and which compared the effects of HIIT session to longer duration, moderate-intensity continuous training sessions. These studies included a wide range of subjects (in training, recreationally active, unfit and sedentary, lean and overweight) of all ages. The outcomes measured were improvements in cardiovascular (aerobic) fitness and changes in body composition. While performing HIIT did not have a significant impact on body composition (ie did not significantly reduce body fat levels), the key finding was that it improved cardiovascular fitness to a
significantly greater degree than performing continuous moderate intensity training. The researchers summed up the study by concluding that ‘
low-volume HIIT appears to be a very time-efficient treatment for increasing fitness’.
How to integrate HIIT into an existing program
The evidence in favor of performing HIIT to boost endurance performance is compelling. However, while they might be convinced of the benefits, many athletes are confused about how to integrate HIIT into an existing training program. Let’s start by looking at three key principles that should guide any athlete adding HIIT to his/her program:
- Always allow for adaptation to HIIT – for non-elite athletes, the intensity of HIIT may well be much higher than you’ve previously been used to. You therefore need to gradually build your HIIT training rather than jump in with full-blown sessions.
- Always adjust your existing workload to accommodate HIIT. HIIT is hard work and it’s therefore essential to allow sufficient recovery when adding intervals to a program, for example by reducing the training load elsewhere. Failure to do so could result in an increased risk of overtraining and/or injury.
- Always structure your weekly routine so that you are fresh before your session(s) of HIIT. If you’re not fresh beforehand, you might be tempted to skip the intervals or if you do them, find them too tiring to complete.
Now let’s see how these principles translate into specific training recommendations. This will of course depend on your previous training background and fitness levels. Boxes 1 and 2 below therefore provide some tailored recommendations for less fit/novice and fit/experienced endurance athletes respectively.
Box 1: Integrating HIIT – recommendations for novices/less fit athletes
- If you’re new to intervals, you should start by adding no more than one interval session per week and cutting back on an existing non-specific workout elsewhere. For example, if you’re training to complete your first half-marathon by building up the mileage on one long run each week, you wouldn’t replace that workout with intervals, but instead replace a less specific session.
- Be gentle on yourself – start easy and work your way into your sessions. For example, instead of aiming for 10 x 1 minutes at 90% of maximum effort from the outset, start with 4 or 5 intervals at 80% effort. Gradually build the number of intervals then build the effort level to 90%
- Try to ensure that you schedule a rest day after your interval session, or at the very least, a day where any training load is very light.
- Ensure you go into your interval session fresh by scheduling a rest day (or a very light training day) the day before. Never do intervals tired.
- Once your body has adjusted to performing intervals and you are finding them more manageable, you can add back in the training session that you initially removed. However, you must still ensure you continue apply principles 3 and 4 above.
- Remember that quality is king; rather than try and add a second interval session too soon and becoming fatigued, aim to ensure that you concentrate on performing a really high-quality interval session once a week.
- Monitor your recovery (see box 3). If you feel you are becoming fatigued, take a week off from intervals completely.
- If your fitness levels are very low (eg a complete beginner or returning after long layoff), you should avoid high-intensity intervals completely until you have built some base aerobic fitness.
Box 2: Integrating HIIT - recommendations for experienced/well-trained athletes
- Aim for one or two interval sessions per week. However, ensure you adhere to principles 3. and 4. in the box 2 above and space the two sessions as far apart as possible.
- If you are performing two sessions per week, try using two different interval sessions to prevent boredom – for example, one session of 30-second repetitions and one session of 90 second repetitions.
- Use a training diary so you can gauge how different interval sessions work for you – eg easily spot positive (or negative) changes in performance 2-3 weeks down the line as a result of implementing a particular type of interval session.
- If you strength train, try to ensure that you keep your resistance sessions as far apart from your intervals as possible (to help ensure maximum recovery). For example, if you’re interval training on a Monday and Thursday, you should resistance train on the Saturday.
- Try periodizing your interval sessions. So for example, you could perform two weeks of 2 sessions per week followed by two weeks of 1 session per week. Or you can block periodize – eg perform intervals two or even three times per week for four weeks then have a complete break for four weeks. The key point is that by varying total workload, you allow your body periods where recovery and adaptation can take place.
- Never perform interval sessions into the run up to a race. You’ll just end up sapping your race-day performance.
- Always monitor your recovery and check for signs of overtraining when undergoing an extended period of interval training, especially if you are also performing a high training loads (see box 3).
Box 3: Monitoring recovery
When performing HIIT, it’s important you ensure adequate recovery to avoid a long-term build up of fatigue. Here are some simple checks you can carry out to monitor your recovery and look for any early signs that you might need to back off a bit in terms of training volume, training intensity or both.
- Record your resting heart rate (in beats per minute - bpm) each morning before you get out of bed. You should find that it is fairly constant from day to day. However, if you record any marked increase from the norm, this may indicate that you aren't fully recovered.
- Use a heart rate monitor to record your heart rate bpm during a steady state session at a specific speed or power output. In the short-term, it should remain fairly constant and in the longer term (as your fitness improves), your heart rate should drop. If you notice an increase at any time, this may indicate that you are not getting adequate rest and recovery.
- Heart rate variability (HRV) measurement can be extremely useful. HRV relies on the fact that in a well-recovered person at rest, there’s quite a bit of natural variability in the time interval between each heart beat. However, when recovery is insufficient and fatigue sets in, that natural variability is diminished. Fortunately, modern technology now means that some heart rate monitors can record your HRV and alert you when your recovery is not up to scratch!
References
- Med Sci Sports Exerc. 1996; 28 (10), p. 1327-1330
- Journal of Physiology, 2006; 575 (3): 901–911
- European Journal of Applied Physiology, 2003 89 (3–4): 337–43
- J Strength Conditioning Res, 2007; 21 (1): 188–92
- Med Sc Sports and Exercise, 2007; 39 (4): 665–71
- Journal of Science and Medicine in Sport, 2007; 10 (1): 27–35
- J Physiol 590.5, 2012; pp 1077–1084
- Eur J Appl Physiol. 2010 Oct;110(3):597-606
- Eur J Appl Physiol. 2010 Sep;110(1):153-60
- Eur J Appl Physiol. 2014 Nov;114(11):2427-36
- Appl Physiol (1985). 2013 Sep;115(6):785-93
- Open Access J Sports Med. 2014 Oct 17;5:243-8
- J Strength Cond Res. 2016 Mar;30(3):859-66
- Sports (Basel). 2021 Jul; 9(7): 92
- Sports Med. 2019 Nov;49(11):1687-1721