New research on branched chain amino acid supplementation suggests significant recovery benefits for muscles following intense bouts of exercise
All athletes know (or should know!) that protein is an essential nutrient for recovery and muscle repair following exercise. Proteins are built from amino acid building blocks and our bodies synthesize chains of amino acids in various combinations to provide the unique structure and function of different proteins. These amino acids can be classed as either ‘essential’ or ‘non-essential’. Essential amino acids are those that must be consumed in the diet because the body cannot synthesize them. Of the eight generally termed essential amino acids, the three ‘branched chain amino acids’ (BCAAs) – isoleucine, leucine and valine – are often considered to be the most important, especially in relation to exercise.
BCAAs and exercise
Why are BCAAs important for athletes? Firstly, muscle tissue contains a high content of BCAAs. Also, research suggests that BCAAs stimulate muscle tissue recovery and regeneration, and some studies have reported on a decrease in exercise-induced muscle injury following BCAA supplementation, an increase in endurance capacity during an exercise (by delaying muscle fatigue) and a reduction in muscle pain following exercise
(1-3). Therefore, supplementation of BCAAs has been advocated for many purposes, including enhancing exercise performance and recovery.
What is less well known however is how BCAA supplementation might affect muscle
function following strenuous exercise. Some studies have found reductions in delayed onset muscle soreness (DOMS) and blood markers of muscle damage with chronic
(4) and acute
(5) BCAA supplementation in conjunction with endurance cycling exercise. There is also a report of reduced soreness following squat exercise with ingestion of BCAAs
(6). However, there is actually very little data on how BCAAs can affect maximum muscle strength and the indicators of DOMS-induced muscle damage following strenuous training. But now, new research has analyzed the maximum muscle strength and indicators of muscle damage to examine the effects of BCAA supplementation on DOMS – by first inducing DOMS using very intense exercise and then investigating the changes of peak torque generated by the quadriceps muscles around the knee joint, as well as investigating markers of muscle damage.
The research
In this study, which was
published in the Journal of Physical Activity and Nutrition, twelve fit men with majors in physical education were assigned to a BCAA supplementation group and placebo group in a double-blinded design. The BCAA group took BCAA supplements, which were administered twice daily from five days before a bout of severe exercise (to induce DOMS) and for 72 hours after the exercise, for a total of 8 days. The supplements were consumed twice daily – a pouch before breakfast and one before lunch. Each pouch contained 3 grams BCAAs. The placebo group meanwhile took inert supplements containing no BCAAs.
On day five, DOMS was induced with an isokinetic exercise routine performed using an isokinetic testing system (Cybex CSMi Humac NORM, 770). The participants performed six sets (10 repetitions per set) of isokinetic exercise at 60% of the knee extension/flexion peak torque at 120˚/sec angular velocity. The maximum quadriceps muscle strength and hamstring was measured at the baseline, immediately before and after the isokinetic exercise bout, and then again three days later when muscle strength was retested (see figure 1). Blood samples to measure markers of muscle damage were also taken immediately before the exercise bout then every 24 hours.
Figure 1: Experiment design protocol
–D5: 5 d before exercise; –D4: 4 d before exercise; –D3: 3 d before exercise; –D2: 2 d before exercise; –D1: 24 h before exercise; D0: immediately after exercise; D1: 24 h after exercise; D2: 2 d after exercise; D3: 3 d after exercise.
The findings
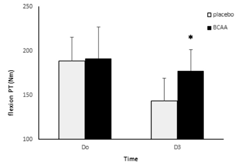
The placebo group demonstrated a significant reduction of the peak torque three days after the initial bout (day 0) of exercise, falling from 332Nm at baseline (day 0) to 267Nm on day three. By contrast, The BCAA group displayed a much smaller reduction of the knee extension peak torque (from 355Nm at the baseline to 313Nm at day three (see figure 2). This reduction was small enough to be considered statistically insignificant, whereas the reduction in peak torque in the placebo group was very significant. Likewise, the placebo group showed a significant reduction in the flexion (hamstring) peak torque from 188Nm at the baseline to 143Nm at post-treatment. The BCAA group however displayed an insignificant reduction from 191Nm at the baseline to 177Nm at post-treatment. Another finding was that the BCAA group had lower levels of creatine kinase - a marker of muscle damage – at day three compared the placebo group, and also lower levels of an enzyme known as lactate dehydrogenase (which helps to break down accumulated muscle lactate). These results suggest the BCAA experienced less muscle damage and less biochemical fatigue.
Figure 2: A comparison of the flexion PT following an exercise-induced DOMS
The BCAA group (dark bars) experienced no significant drop in peak hamstring torque – unlike the placebo group.
Practical implications
One significant limitation of this study was the small subject numbers used. Ideally, a larger number of subjects would give even more robust data. Nevertheless, these findings add further evidence to the notion that BCAA supplementation may reduce muscle damage, and accelerate recovery. This is something that could be especially useful for athletes competing in strenuous events where repeated bouts are required in a short timescale (eg multi-day events and competitions). Given that BCAA supplements are safe, completely legal, relatively inexpensive and readily available from sports supplement retailers, athletes have nothing to lose by experimenting with the protocol outlined in this study as described above. If you are tempted to try BCAA supplementation, bear in mind that buying in a pure powder form is much cheaper than capsule form. The downside however is the taste, which will need disguising in a flavored drink to make it palatable!
References
- Med Sci Sports Exer 2010;42:962-70
- Nutrients 2012;4:1767-80
- Journal of Nutrition 2006;136:269-73
- J Sports Med Phys Fitness 2000; 40:240-246
- Int J Sport Nutr Exerc Metab 2007; 17:595-607
- J Nutr 2006; 136:529S-532S