
As all endurance athletes know, maximizing performance requires the optimization of a lot of physical capabilities. While training ever harder and longer might seem like the obvious solution, this strategy will inevitably lead to injury and burnout. What’s need is a more nuanced and intelligent approach, with a carefully crafted training program that employs all the necessary tools to raise performance, without the downsides of a sledgehammer approach. In this article, we will look at new research on whether adding heavy strength training (ie using a load that 80% or more of the maximum load you can lift just once) to your routine can make a real difference to endurance performance.
In years gone by, the main goal of endurance training was to increase maximum aerobic capacity – more technically known as ‘VO2max’ (measured in millilitres of oxygen per kilo of bodyweight per minute – ml/kg/min). The reason is simple; over long-distance events, nearly all the energy for muscle movement is derived by burning carbohydrate (glycogen) and fat in the presence of oxygen. But while the human body can store plenty of fat, and quite a bit of carbohydrate, oxygen storage capacity is virtually nil. That means the amount of oxygen available to exercising muscles is determined by the body’s ability to absorb, transport and deliver oxygen to those muscles. Related to VO2max is something called pVO2max, which is the actual power output (in watts) you produce when you’re at your VO2max.
However, over the past thirty years or so, evidence has accumulated indicating that a much better measure (than VO2max) of an individual’s aptitude for success in endurance events is something called ‘maximal lactate steady state’ –or MLSS for short(1,2). This measure is the maximum workload that the body can sustain without the accumulation of (fatiguing) lactate in the bloodstream(3). In simple terms, this is like your maximum cruising speed without blowing up and having to slow down! Although it might seem a trivial distinction, the use of MLSS is more relevant in real-world conditions because endurance athletes typically have to sustain maximal power/speed for long periods of time. This means that the maximal oxygen uptake becomes less relevant than the maximum sustainable power output.
Other factors that need to be taken into consideration include ‘muscular efficiency’. Muscles that work very efficiently are able to generate more propulsive force while requiring less energy (and therefore less oxygen). This internal type of efficiency is referred to as ‘muscle economy’. Economy refers to how efficient the muscles are (in terms of oxygen usage) at producing force during sub-maximal exercise (ie not flat out). The better the economy of your muscles during exercise, the less oxygen you need to use to propel yourself along at a given speed. Less oxygen consumption and less energy expenditure inevitably means less muscle glycogen (the best fuel for exercise) depletion and less fatigue, which enables athletes to go further and faster than less efficient athletes.
In sports where sprints are sometimes required, ‘anaerobic capacity and power’ are also relevant to performance. This aspect can be considered as the body’s backup battery for short, explosive efforts when aerobic power alone (from oxygen) isn’t enough. Anaerobic capacity is how much of this quick energy you have in the tank (for efforts lasting a minute or two), while your anaerobic power is how fast you can unleash it (like sprinting to the finish line). In cycling for example, good anaerobic capacity and power is needed during attacks, sprints, or bridging gaps in a peloton.
Finally, recent research has determined that something called ‘durability’ is also essential for good endurance performance. As Andrew Sheaff explains elsewhere in this issue, an athlete’s durability is a measure of their ability to maintain robust physiological function (VO2max, MLSS, and economy) throughout a race or competition. In short, athletes with high levels of durability are less prone to deterioration in the elements of performance described above during a prolonged bout of exercise.
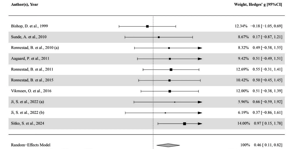
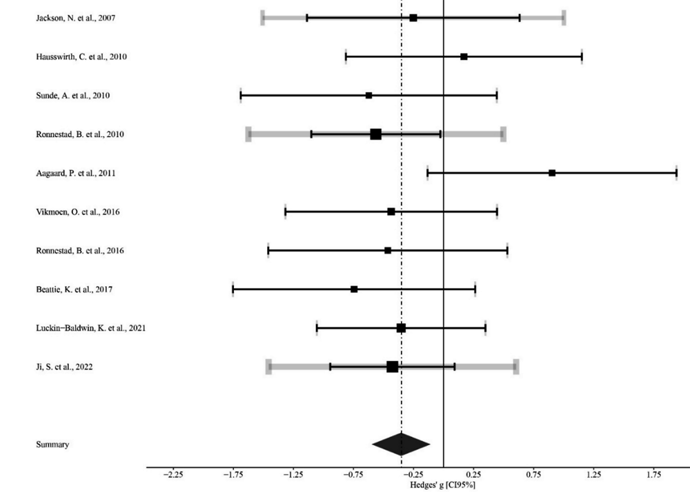
Research shows that strength training in general can improve endurance performance, particularly when it comes to improving muscle economy(4-7). But what about heavy strength training for endurance performance – ie strength sessions using squats, deadlifts, or leg presses with weights so heavy you can only do a few reps? For athletes such as runners and cyclists, strength training using large loads might seem counterintuitive because of the concern that heavy weights might make them bulky and slow (spoiler alert – it doesn’t).
However, heavy weight sessions focus on brief high-intensity work – not high volumes of strength work, which tends to be very tiring. If heavy weights can improve performance without messing up endurance base training, it could be a useful win-win tool. To date however, there remains some controversy as to how useful heavy strength training really is for endurance athletes. That’s because the studies have used a wide variety of endurance sports, training exercises and training loads, which adds a lot of uncertainty. However, a new study on this topic has just been published, and provides a lot more clarity for athletes and coaches alike.
TAKE A RISK-FREE TRIALToday you have the chance to join a group of athletes, and sports coaches/trainers who all have something special in common...
They use the latest research to improve performance for themselves and their clients - both athletes and sports teams - with help from global specialists in the fields of sports science, sports medicine and sports psychology.
They do this by reading Sports Performance Bulletin, an easy-to-digest but serious-minded journal dedicated to high performance sports. SPB offers a wealth of information and insight into the latest research, in an easily-accessible and understood format, along with a wealth of practical recommendations.
*includes 3 coaching manuals
Get Inspired
All the latest techniques and approaches
Sports Performance Bulletin helps dedicated endurance athletes improve their performance. Sense-checking the latest sports science research, and sourcing evidence and case studies to support findings, Sports Performance Bulletin turns proven insights into easily digestible practical advice. Supporting athletes, coaches and professionals who wish to ensure their guidance and programmes are kept right up to date and based on credible science.