You are viewing 1 of your 1 free articles. For unlimited access take a risk-free trial
SPB looks at new research on short-term beetroot juice supplementation on strength training and recovery
Although there had been previous interest in the use of beetroot and beetroot juice as a supplement that might help promote cardiovascular health, it was the landmark 2007 study on beetroot juice supplementation by a team of Swedish researchers that provided the first solid evidence on the potential performance-enhancing effects of beetroot in endurance activities(1). What the scientists found amazed them. The oxygen cost at sub-maximal levels of exercise was significantly reduced after nitrate supplementation compared with placebo – in other words, the subjects taking nitrate became more efficient at using oxygen. Over the four lowest work rates, their oxygen efficiency jumped from 19.7 to 21.1%. Or to put it another way, the same work output required less oxygen after nitrate supplementation compared to when nitrate wasn’t taken. The rest as they say is history, and since then, there’s been a subsequent explosion of research into nitrate-rich beetroot juice and sport performance.
What is it about beetroot/beetroot juice that provides the capacity to enhance performance? In simple terms, beetroot juice is an excellent source of natural dietary nitrate, which can be converted to nitric oxide in the body. That’s important because nitric oxide is involved in modulating (increasing) blood flow to muscles, potentially improving the efficiency of muscular contraction and energy production – key parameters for endurance performance. This effect has been confirm in a number of studies.
Following the 2007 study cited above, a follow-up study looked at the effects of giving 500mls of beetroot juice (containing nearly 700mgs of naturally occurring nitrate) for six consecutive days on cycling performance(2). It found that not only was time-to-exhaustion was significantly extended when beetroot juice was taken, but that the aerobic responses of the athletes were faster at the start of exercise. Further studies since have confirmed the potential of dietary nitrate for endurance athletes especially in non-elite populations. These include studies on time-trial cyclists(3,4) and runners(5).
Moreover, a 2017 systematic review surveyed the data from 23 previous studies investigating the effects of beetroot juice supplementation on cardiorespiratory endurance in athletes(6). It concluded that “Supplementation with beetroot juice can improve cardiorespiratory endurance in athletes by increasing efficiency, which improves performance at various distances, increases time to exhaustion at submaximal intensities, and may improve the cardiorespiratory performance at anaerobic threshold intensities and maximum oxygen uptake (VO2max).” In short then, we can be confident that beetroot juice supplenetation really can help improve endurance performance in most athletes (although see the box on caveats)
While the evidence for the benefits of beetroot juice/nitrate is robust for sub-maximal (ie lower intensity) exercise, more recent research indicates that the higher the exercise intensity, the smaller the magnitude of the potential benefits. Secondly, there’s persuasive evidence that higher the level of your fitness, the less you stand to gain from nitrate/beetroot juice consumption – indeed elite athletes may actually derive almost no benefits(7,8). Why are highly trained athletes less likely to benefit from beetroot juice/nitrate? The most likely explanation is that dietary nitrate works by improving the efficiency of blood flow to the working muscles. But in highly trained endurance athletes, this efficiency is already extremely high so giving supplemental nitrate has little additional effect.
Although beetroot juice has been extensively studied in the context of endurance, its value for aiding strength performance and in resistance training is much less understood. Overall though, from what we do know, it does seem that the consumption of beetroot juice prior to strength training is able to improve power output, and the numbers of reps achievable in exercises such as the bench press and back squat – especially so in the latter where the large muscles of the lower body (glutes, quadriceps, hamstrings) are engaged(9-12).
For example, as we previously reported in a previous SPB article, athletes ingesting 70mls of beetroot juice (providing 400mgs of nitrate) 150 minutes prior to exercise achieved a higher average velocity (+6.7%), peak velocity (+6.0%), average power (+7.3%) and peak power (+6.0%) in the back squat when the beetroot juice was consumed(13). In another study, ingesting 140mls of a nitrate-rich beetroot juice concentrate (containing 800mgs of nitrate) supplementation 150 minutes beforehand increased average power outputs both during the concentric and eccentric movement phases performed during flywheel-resistance training, with comparable increases in peak power output(14).
Despite some positive findings on beetroot juice supplementation for strength athletes, there are a lot of questions remaining. For example, most of these studies have either focused on the acute (one-off) or chronic (over a period of weeks) effects of beetroot juice supplementation. By contrast, there’s very little research on short-term beetroot juice use (eg three days). This is a supplementation approach that may be particularly relevant for athletes who perform multiple high-intensity sessions per week – for example strength athletes, who often prioritize rapid power output and neuromuscular recovery between sessions. The needs of strength athletes are clearly different to compared to endurance athletes, who can benefit from the chronic use of beetroot juice to promote a more sustained aerobic efficiency.
In addition, the relatively few strength-related studies that have been carried out have emphasized performance outcomes, but have often neglected the underlying physiological responses like heart rate variability (HRV – a measure of internal loading and recovery; beginners, see this article) and muscle oxygenation. These physiological measures are critical for monitoring internal load and recovery, which in turn can help athletes to optimize their training periodization. In short, scientists still don’t know whether short-term beetroot juice supplementation can provide both performance and recovery benefits to strength athletes while favorably modulating cardiovascular and neuromuscular responses.
To try and provide clarity for strength athletes, a team of international researchers has carried out a study into the effects of short-term beetroot juice supplementation on strength performance, HRV responses, and muscle oxygenation, while also exploring its recovery effects on lower-limb strength and muscle soreness(15). Just published in the journal ‘Nutrients’, this study sought to discover whether a 3-day beetroot juice supplementation protocol in trained strength athletes was able to enhance strength performance, and improve recovery by enhancing lower-limb strength gains, reducing muscle soreness, and improving muscle oxygenation.
Twelve healthy men who had been resistance training more than three times per week for at least six weeks were recruited. Importantly, all of them were familiar with and had been practicing the two key exercises used in the study - the bench press and back squat. All of the participants were healthy and none were using creatine supplementation or had musculoskeletal injuries that could interfere with the result. In addition, the participants had to follow strict dietary guidelines, avoid additional strenuous activity, and refrain from non-steroidal anti-inflammatory drugs (NSAIDs) use during the study intervention.
The study was a double-blind, randomized, crossover design (the most scientifically rigorous) where each participant underwent two protocols in a random order – one with a beetroot juice supplement intervention and one with a placebo intervention. Whichever intervention (beetroot or placebo) was performed in the first protocol was reversed for the second a week later, which meant that each participant served as his own control. Each protocol consisted of two laboratory visits, one to assess the acute ergogenic effects of beetroot/placebo when performing the bench press and back squat exercises, and another to evaluate recovery after 72 hours. This meant that the total study involved in a total of four sessions over a two-week period. The two supplement interventions were as follows:
· Beetroot juice - providing 450mg of nitrate per day. During the three consecutive days of supplementation, participants ingested a single 900ml dose of beetroot juice before the first session followed by three daily 300ml doses over the next two days, and a final 900ml dose taken 2 hours before the second session (ie 72 hours post-first session).
· Placebo – following the exact same volumes and timings of ingestion as described above, but using a similar tasting and looking drink that was nitrate free.
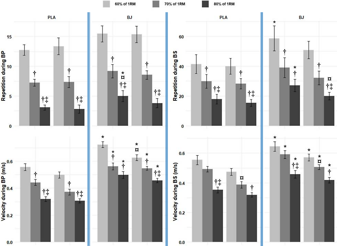
Each testing session involved incremental back squat (BS) and bench press (BP) exercises at 60%, 70%, and 80% of the participant’s one-repetition maximum (1RM) performed to failure, with 3-minute rest intervals between sets. Repetitions to failure, movement velocity, peak power, peak heart rate (HR), and muscle oxygenation (SmO2) were recorded during each of the BP and BS exercises. Heart rate variability (HRV) and blood lactate were also assessed before and after each training session. Lower-limb strength using countermovement jump height and single jump distance (CMJ and SJ) and delayed-onset muscle soreness (DOMS) were assessed daily during the 3-day supplementation period. The overall protocol is shown schematically in figure 1 below.

The results were very encouraging for beetroot juice use.
· Firstly, compared to placebo ingestion, beetroot significantly increased the number of repetitions completed at 80% of 1RM during both the bench press and back squat exercises (see figure 2).
· Secondly, peak movement velocity improved across all intensities when beetroot juice was taken compared placebo (see figure 2) – thus indicating greater development of power.
· Muscle tissue oxygenation was higher at 70-80% 1RM intensities when beetroot juice was ingested, and further improved after 72 hours of further supplementation.
· Cardiovascular strain was reduced in the beetroot protocol, evidenced by lower peak heart rates and smaller post-exercise declines in HRV indices (remember, more heart rate variability indicate less physiological strain and better recovery).
· Post-exercise recovery favored beetroot juice, with faster recovery in jump performance at 24 hours and reduced upper-limb DOMS at 24-48 hours.
The authors concluded that ‘beetroot ingestion benefits highlight its potential as a practical strategy for athletes seeking to optimize training performance and recovery during periods of intense resistance training’, and it’s hard not to agree! While this study was relatively small in participant numbers, its randomized crossover design, with each participant serving as their own control, gives it good statistical power – ie its conclusions are robust. Moreover, the findings dovetail nicely with those from previous studies on strength and beetroot juice consumption. What’s different about this study is that not only does it show an ergogenic outcome for strength athletes who consume beetroot juice for a period of three days or so, it also reveals some of the underlying beneficial physiological effects, which help drive this ergogenic outcome. These physiological effects also help explain the reduced cardiovascular strain and reduced level of DOMS experienced by the athletes.
In terms of practical application, this information is relevant athletes who have periods of intense training or competition scheduled. So for example, if you have a multiday event coming up that requires high-intensity efforts, or are playing matches in a period of fixture congestion, the use of beetroot juice will likely improve your performance not just on the first day, but on later days thanks to accelerated recovery. The same is true for athletes who periodically undertake blocks of strength training as part of an overall training program. Scheduling the ingestion of beetroot juice during these blocks is likely to help performance and recovery. When choosing a beetroot juice supplement however, remember it’s the nitrate that produces the ergogenic effect. This means choosing a high-nitrate juice so that you can ingest an average of around 450mg of nitrate per day over a three to four day period.
1. Acta Physiol (Oxf). 2007 Sep;191(1):59-66
2. J Appl Physiol. 2009 Oct;107(4):1144-55
3. Med Sci Sports Exerc. 2011 Jun;43(6):1125-31
4. Int J Sport Nutr Exerc Metab. 2012 Feb;22(1):64-71
5. J Acad Nutr Diet. 2012 Apr;112(4):548-52
6. Nutrients. 2017 Jan 6;9(1):43
7. Scand J Med Sci Sports. 2013 Feb;23(1):e21-31
8. Int J Sport Nutr Exerc Metab. 2017 Jun;27(3):255-263
9. Nutrients. 2023;15:2493
10. J. Strength Cond. Res. 2016;30:3520–3524
11. J. Am. Coll. Nutr. 2016;35:100–107
12. J. Nutr. 2013;143:818–826
13. Eur J Sport Sci. 2021 Jun;21(6):871-878
14. Sports Health. 2022 May 21;19417381221083590
15. Nutrients. 2025 May 19;17(10):1720. doi: 10.3390/nu17101720
Today you have the chance to join a group of athletes, and sports coaches/trainers who all have something special in common...
They use the latest research to improve performance for themselves and their clients - both athletes and sports teams - with help from global specialists in the fields of sports science, sports medicine and sports psychology.
They do this by reading Sports Performance Bulletin, an easy-to-digest but serious-minded journal dedicated to high performance sports. SPB offers a wealth of information and insight into the latest research, in an easily-accessible and understood format, along with a wealth of practical recommendations.
*includes 3 coaching manuals
Get Inspired
All the latest techniques and approaches
Sports Performance Bulletin helps dedicated endurance athletes improve their performance. Sense-checking the latest sports science research, and sourcing evidence and case studies to support findings, Sports Performance Bulletin turns proven insights into easily digestible practical advice. Supporting athletes, coaches and professionals who wish to ensure their guidance and programmes are kept right up to date and based on credible science.