How rapidly are muscle mass and strength gains lost during detraining, and what can athletes do to retain their hard-won strength gains for as long as possible?
It might be a bit of a cliché, but the old saying ‘use it or lose it’ perfectly sums up one of the key principles of fitness – reversibility. So long as you train, you can maintain and (hopefully) build your fitness levels. However, stop training and your fitness levels will steadily decline – a process known as detraining. The obvious question that many athletes ask therefore is how much fitness will be lost and how quickly when training ceases – for example because of injury or illness? Understanding the process of detraining also informs a successful pre-competition tapering strategy; athletes need to ensure enough rest for maximal recovery, but not so much that detraining begins to occur, which then saps performance.
Detraining question marks
It actually turns out that there’s surprisingly little published research on the actual fitness losses during an extended period of detraining. This is perhaps to be expected; after all, it’s very hard to recruit athletes who take training seriously and then ask them to stop training for a month or more! Most of the research that has been carried out on detraining has looked at cardiovascular fitness losses, in particular, the ability to take in, transport and use oxygen (VO2max). (See
this article for a more general discussion of detraining) These aerobic fitness losses are significant; not only can VO2 max plummet by 7% in less than two weeks (see figure 1)
(1), the ability to work at a high percentage of VO2max also declines, making the impact on performance even greater.
Figure 1: Typical % decline in aerobic fitness over 84 days of inactivity
Aerobic capacity (maximum oxygen uptake) is shown by the red line. Cardiac capacity (pumping capacity of the heart) is shown by the yellow line. Horizontal axis shows number of days after cessation of training.
When it comes to strength losses as a result of detraining, the research is even sparser, especially when it comes to athletes in regular training. One 2019 study looked at the effects of 12 weeks of resistance training in middle-aged adults, and how much of the strength gains were lost after 12 weeks of detraining
(2). It found that detraining losses in absolute strength and local muscular endurance were around 15%. Another study looked at older adults who resistance trained for 12 weeks (using either high or low-intensity training) then detrained for 24 weeks
(3). It found that the gains in muscle volume were completely reversed after 24 weeks; however, some of the gains in functionality were retained, especially in those who had undertaken the high-intensity protocol.
Whilst there is plenty of research on strength detraining in the general population, when it comes to athletes, there is very little (most likely for the reasons given above). One systematic review study (a study that pools the data from a number of previous studies) looked at the development, retention and decay rates of strength and power measures in elite rugby union, rugby league and American football players
(4). Arguably more relevant than studies on otherwise sedentary people, this study investigated athletes who had been regularly performing strength sessions involving 3-6 sets of 4-10 repetitions at 74-88% one-repetition maximum [1RM]). What the researchers found was that after a 7 to 8-week period of detraining, the recorded strength and power losses averaged between 14-15%. Interestingly, the strength losses here occurred in around half the time as those of the middle-aged adults in the study above. And for an athlete in competition, where every marginal gain counts, these detraining strength losses are far from ideal! More generally, research suggests that strength performance in athletes may be retained for up to three weeks of inactivity; however, in highly trained athletes, levels of eccentric force and sport-specific power may suffer significant declines in this timeframe
(5).
Individual strength gains and losses
Although the key principles of strength training are well understood, most experienced athletes, coaches and strength & conditioning trainers are well aware that not everybody responds equally to a given program. And brand new research suggests that this seems to be the case when it comes to gaining muscle mass and strength – then losing it following a period of detraining. In study just published in the
Journal of Strength and Conditioning Research, researchers have investigated the differences in individual responses to muscle hypertrophy (growth) during strength training and detraining
(6).
Twenty six male recreational athletes were recruited to investigate differences in individual responses to muscle hypertrophy growth and strength during strength training and detraining. Ten weeks of resistance training was followed by six weeks of detraining in the athletes. Before, during and after the intervention, each athlete’s one-repetition maximum (1RM) in the leg press was recorded, along with the cross-sectional area of the vastus lateralis muscle of the frontal thing (quadriceps).
Training - The subjects trained three times per week, and there was always at least one full day of rest between training sessions. The training program consisted of leg press and bench press three times per week. The training program also included knee extension, knee flexion, dumbbell bench press, seated French press, elbow flexion and extension movements, horizontal row, and core exercises. To maximize strength and muscle gains, all the subjects received protein and carbohydrate supplementation after every training session (30 in all).
Detraining - The subjects were advised to continue their life in the same way as they did before the training intervention but were instructed not to do any strength training or high-intensity physical activity. They were allowed to do normal daily physical activities - for example, short commutes by bike (under 5km) and physical activity related to household chores. The detraining process was controlled by a subjective questionnaire at week 3 and again at week 6.
The findings
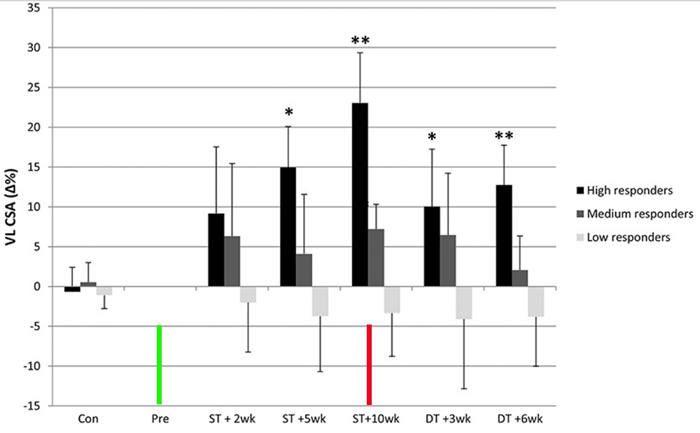
The first finding was that after ten weeks of training, the athletes averaged a 10.7% increase in their quadriceps muscle cross sectional area (CSA) and a 16.3% increase in their leg press 1RM. What surprised the researchers however was that these gains were not at all uniform, with some responding very well, some quite well and some hardly at all! The high responders experienced over 15% gain in muscle CSA, whereas the medium responders showed around half that while the low responders increased muscle CSA by less than 4%. This was reflected in the leg press 1RM scores, which ONLY significantly improved in the high responders, and not in the medium or low responders.
These inter-individual differences were also very apparent during the six weeks of detraining. During the first three weeks, the low and medium responders maintained strength whereas the high responders actually gained another 2.5% in leg press performance (presumably because they had continued to recover properly). Over the six weeks as a whole however, the muscle CSA losses in the high responders was very high (10.7%) whereas the low and medium responders lost only small amounts of muscle CSA – deemed to be statistically insignificant. Figure 2 illustrates the gains and losses over the training/detraining period for the three groups.
Figure 2: Gains and losses in muscle CSA over the training/detraining period
Relative changes (mean and SD) in muscle CSA in high, medium and low responders after 2, 5, and 10 weeks of strength training and 3 and 6 weeks of detraining. Con refers to the control measurements before training commenced. Geen bar = start of training; red bar = end of training and start of detraining. * means that the results were significantly different compared to the corresponding pre-training value; ** means that the results were very significantly different (p less than 0.01). VLCSA = vastus lateralis muscle cross-sectional area.
Implications and advice for athletes
Whenever training ceases for more than a few days, detraining is a fact of life. Although studies on athletes are somewhat thin on the ground, the evidence to date is that when strength training is stopped, actual strength levels may hold up quite well for 2-3 weeks before beginning to decline. This suggests that athletes tapering for competition can cease strength work two weeks beforehand (to ensure freshness) and not be concerned about losing strength.
Meanwhile, athletes who respond particularly well to strength training (ie those who find it easy to gain muscle mass) may want to back off strength work a bit earlier prior to competition; in the study above, strength levels actually increased after three weeks of no strength work! Another reason to err on the side of caution when deciding when to cease strength training (ie not to attempt to strength train too close to an important event) is that even when maximal strength levels do decline, functional strength levels – the type of strength needed in sports-specific movements - appear to be more resilient.
A final tip comes from a 2016 study on resistance trained men who undertook either concentric-only, eccentric-only or traditional concentric-eccentric bench press resistance training for a period of six weeks
(7). In the 6-week detraining period that followed, only the eccentric-only trained men retained some of the gains (1RM and muscle mass) made during the 6-week training period. This suggests that performing eccentric-only strength training (see
this article for more info on eccentric training) might help stave off detraining strength losses for longer, which could help athletes preparing for competition and where time/energy is at a premium in the run-up to the event.
References
- J Sports Med. 1986. 26: 92-100
- J Bodyw Mov Ther. 2019 Jul;23(3):466-472
- Exp Gerontol. 2017 Nov;98:30-37
- Sports Med. 2013 May;43(5):367-84
- Med Sci Sports Exerc 33: 1297–1303, 2001
- J Strength Cond Res. 2021 Jun 1;35(6):1500-1511
- Appl Physiol Nutr Metab. 2016 Nov;41(11):1184-1189